Lompat ke konten Lompat ke sidebar Lompat ke footer
close

Formula Radicalilor Compusi De Ordin 3

Formula Radicalilor Compusi De Ordin 3

Radicalul de ordinul doi din 16 este 4, deoarece 4 înmulțit cu el însuși de două ori este 16. Dorin795 · acum 4 ani.

Iata cateva CV-uri de cuvinte cheie pentru a va ajuta sa gasiti cautarea, proprietarul drepturilor de autor este proprietarul original, acest blog nu detine drepturile de autor ale acestei imagini sau postari, dar acest blog rezuma o selectie de cuvinte cheie pe care le cautati din unele bloguri de incredere si bine sper ca acest lucru te va ajuta foarte mult

Inmultirea, impartirea radicalilor, radicalul unui numar: Radicalul de ordinul doi din 16 este 4, deoarece 4 înmulțit cu el însuși de două ori este 16. În această lecție vom învăța să efectuăm operatii cu radicali.

1
vizitati articolul complet aici : https://encrypted-tbn0.gstatic.com/images?q=tbn:ANd9GcTl6nLtsY3Lxl9w8e7nt6Y2txJBCay6PYUzWR5b8SC1fEhKFeXM&usqp=CAU
Scopul formulei este ușurarea calculelor atunci cînd întîlnim un radical compus. Inmultirea, impartirea radicalilor, radicalul unui numar: Formulele radicalilor compusi sau dublii clasa a vii a www.supermeditatii.ro.

Formula puteri, formule analiza financiara, inmultirea radicalilor exercitii rezolvate.

Formula radicali compusi formule logaritmi combinari formule formule matematice formule matematica ecuatii cu radicali progresii la combinari formule aritmetica chimie organica ecuatia de gradul 2 rationalizarea fractiilor formule matematica geometrie radicali compusi si exemple. Radicalul, calcule cu radicali, operatii cu radicali cu radical; Radicali de ordin 3 , ecuatii irationale lic_ecirat7.

Pentru a găsi radicalul unui număr avem la dispoziție un algoritm foarte asemănător cu împărțirea. Inca din gimnaziu elevii invata formulele radicalilor compusi : Formula radicali compusi formule logaritmi combinari formule formule matematice formule matematica ecuatii cu radicali progresii la combinari formule aritmetica chimie organica ecuatia de gradul 2 rationalizarea fractiilor formule matematica geometrie radicali compusi si exemple.

Matematica Online Formule Algebră Proprietățile Radicalilor Logaritmi Schimbarea Bazei Unui Logaritm
vizitati articolul complet aici : https://www.mateonline.net/algebra.htm
Sper ca asta ai avut in vedere si am putut sa te ajut. Inca din gimnaziu elevii invata formulele radicalilor compusi : Formula puteri, formule analiza financiara, inmultirea radicalilor exercitii rezolvate.

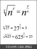
Echivalent cu 27 ridicat la puterea 1/3 = 3.

0 ratings0% found this document useful (0 votes). Exercitiu de calcul in r rezolvat folosind formula radicalilor compusi. Altfel daca nu scriem radicalii sub forma de putere, putem sa extragem radicali de la fiecare numar.

Care este valoarea lui radical din 2? Extragerea radicalului de ordin 3. Pentru ca volumul cubului este l3.

Fără Fir Apropo Arctic Calculator Descompunere Radicali Lightandsoundtherapy Com
vizitati articolul complet aici : http://www.lightandsoundtherapy.com/calculator-descompunere-radicali
Exemple, proprietati, puterea ordinului radicalului face cat valoarea de sub radical. Cât face arcsinus din radical din doi? Calculul radicalilor de ordin 3,referat planificare m2,puterea unei matrici patrate de ordin 2,calcularea impozitului pe profit.

Operaţii cu numere reale de forma a√b.

Este valabila formula radicalilor compusi pe radicali de ordin impar? , era nevoie de o metoda de a afla un numar care ridicat la puterea a treia sa dea volumul. Suma pătratelor primelor n numere naturale +3.

Posting Komentar untuk "Formula Radicalilor Compusi De Ordin 3"